未登入
登入
王佳欣
2018/08/15 22:54
高中/數學
主 題:
出 處:
參考書
題目難易:
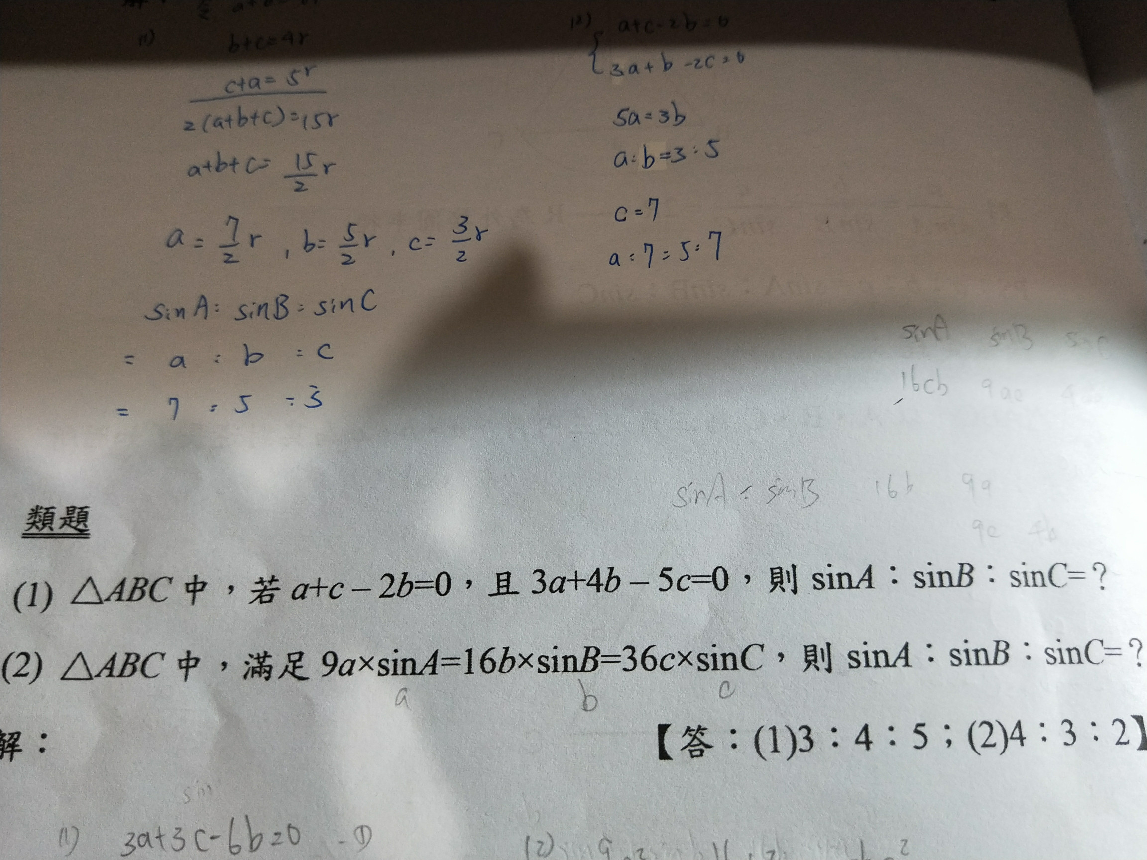
請問第二題
(原作者於 2018/08/15 22:58 重新編輯過)
分享
訂閱
你目前尚未登入,登入後方能觀看解答!
李玟慧
國中/歷史
台灣史
曾昱翔
高中/英文
李京昱
國中/數學