未登入
登入
戴芷柔
2018/08/31 20:46
高中/數學
主 題:
出 處:
其他
題目難易:
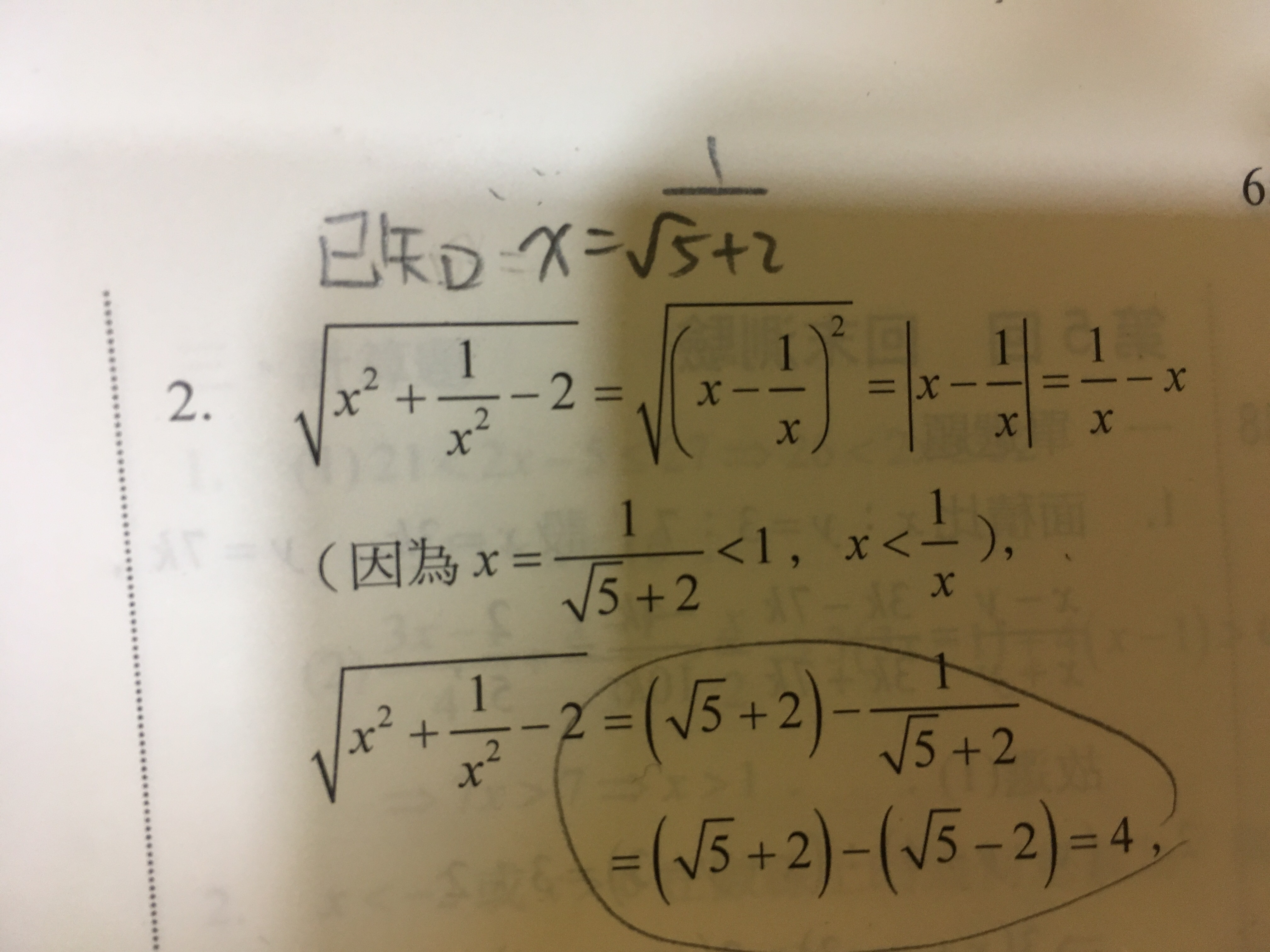
請問圈起來的第一行 1又分之根號5加2 是怎麼變成圈起來第二行的
(原作者於 2018/08/31 20:48 重新編輯過)
分享
訂閱
你目前尚未登入,登入後方能觀看解答!
李玟慧
國中/歷史
台灣史
曾昱翔
高中/英文
李京昱
國中/數學