未登入
登入
李泊瑋
2019/01/19 23:54
高中/數學
主 題:
出 處:
產品題庫
題目難易:
中等
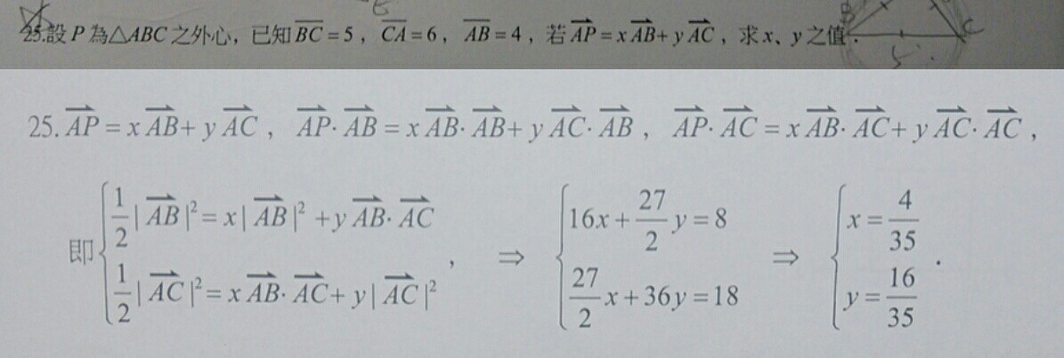
這題為什麼可以用½|AB向量|²算 謝謝
(原作者於 2019/01/20 00:02 重新編輯過)
分享
訂閱
你目前尚未登入,登入後方能觀看解答!
李玟慧
國中/歷史
台灣史
曾昱翔
高中/英文
李京昱
國中/數學