未登入
登入
劉芷彤
2021/11/20 16:45
高中/數學
主 題:
出 處:
其他
題目難易:
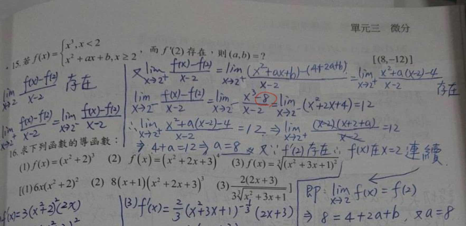
15題 紅筆圈起來的地方為什麼是8 f(2)不是應該代第二式嗎?
(原作者於 2021/11/20 18:25 重新編輯過)
分享
訂閱
你目前尚未登入,登入後方能觀看解答!
李玟慧
國中/歷史
台灣史
曾昱翔
高中/英文
李京昱
國中/數學