未登入
登入
李浚豪
2022/03/18 23:30
國中/數學
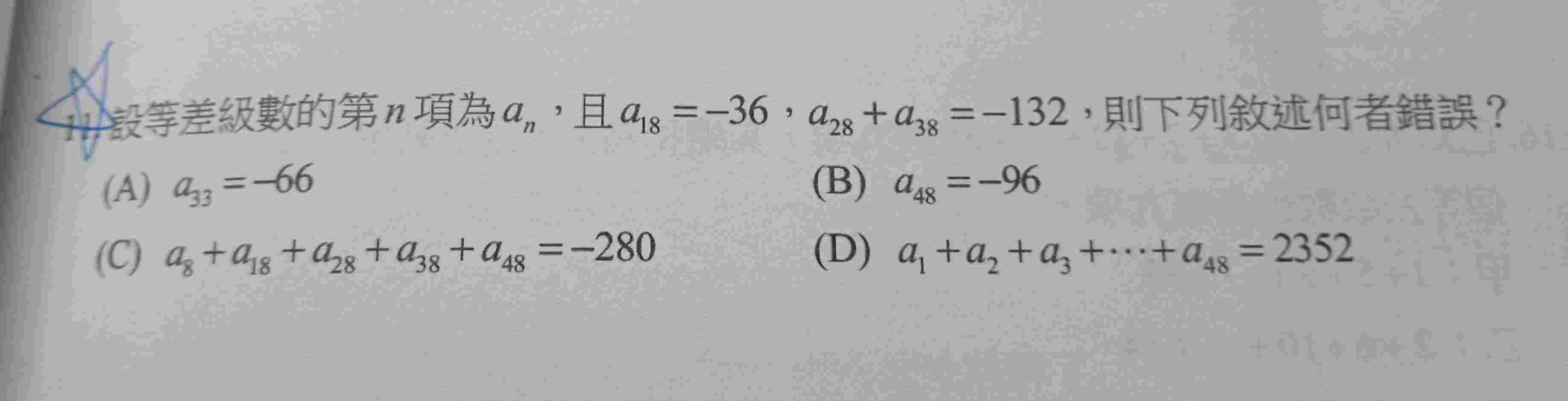
主 題:
出 處:
參考書
題目難易:
請協助解題
(原作者於 2022/03/19 01:15 重新編輯過)
分享
訂閱
你目前尚未登入,登入後方能觀看解答!
李玟慧
國中/歷史
台灣史
曾昱翔
高中/英文
李京昱
國中/數學