未登入
登入
翁偉齊
2022/04/30 20:15
高中/數學
主 題:
出 處:
其他
題目難易:
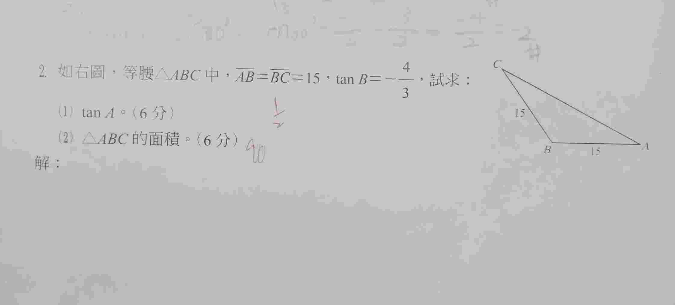
該怎麼畫圖
(原作者於 2022/04/30 20:22 重新編輯過)
分享
訂閱
你目前尚未登入,登入後方能觀看解答!
李玟慧
國中/歷史
台灣史
曾昱翔
高中/英文
李京昱
國中/數學