未登入
登入
邱欣翔
2022/04/30 22:10
高中/數學
主 題:
出 處:
其他
題目難易:
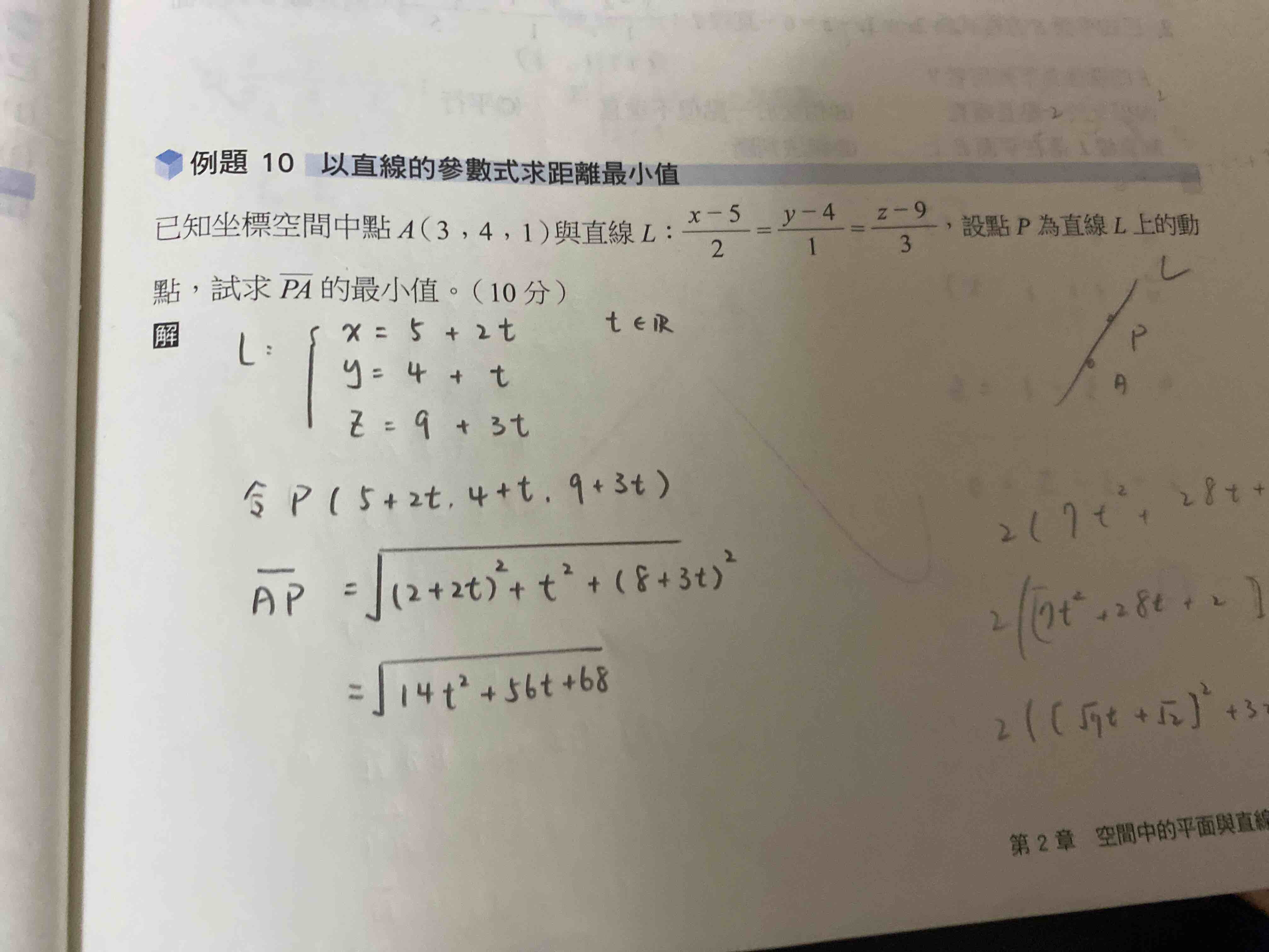
麻煩講詳細一點 謝謝老師
(原作者於 2022/04/30 22:22 重新編輯過)
分享
訂閱
你目前尚未登入,登入後方能觀看解答!
李玟慧
國中/歷史
台灣史
曾昱翔
高中/英文
李京昱
國中/數學