未登入
登入
劉師瑜
2022/05/01 19:33
高中/數學
主 題:
出 處:
參考書
題目難易:
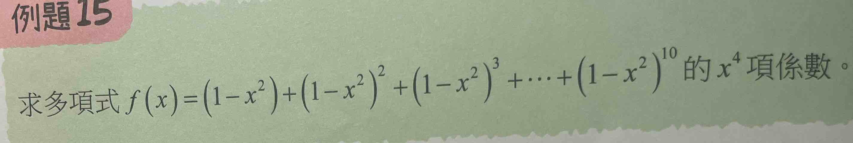
請問這題要如何解答
(原作者於 2022/05/01 19:37 重新編輯過)
分享
訂閱
你目前尚未登入,登入後方能觀看解答!
李玟慧
國中/歷史
台灣史
曾昱翔
高中/英文
李京昱
國中/數學