未登入
登入
劉泳辰
2022/05/10 20:30
高中/數學
主 題:
出 處:
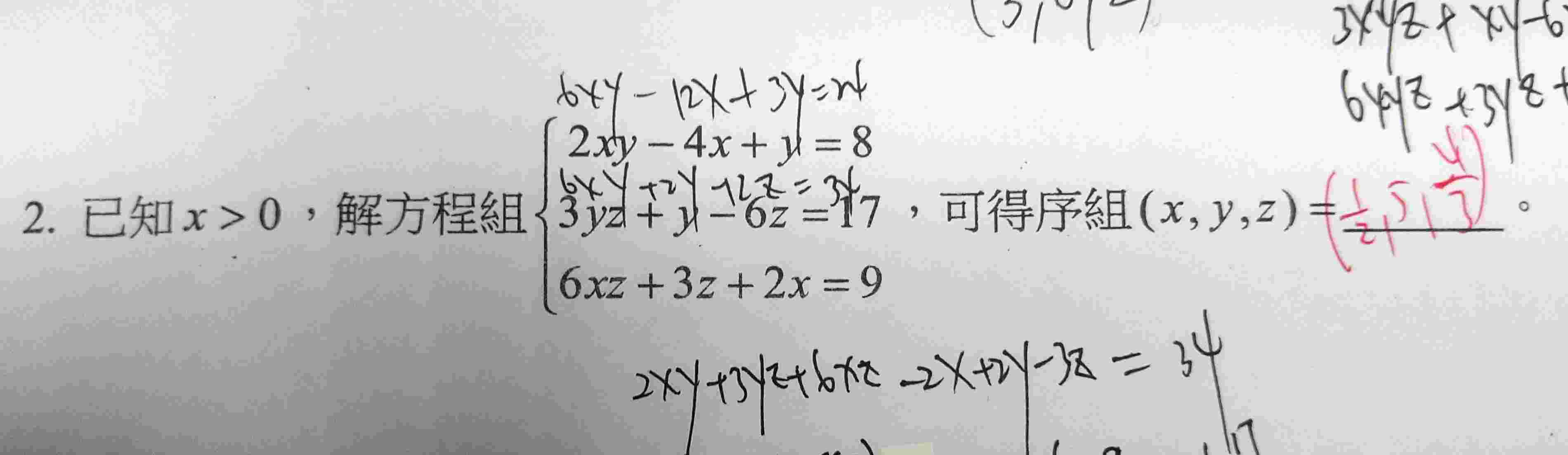
其他
題目難易:
(1/2,5,4/3)
(原作者於 2022/05/10 20:50 重新編輯過)
分享
訂閱
你目前尚未登入,登入後方能觀看解答!
李玟慧
國中/歷史
台灣史
曾昱翔
高中/英文
李京昱
國中/數學