未登入
登入
馬伊嫻
2022/05/17 18:52
高中/數學
主 題:
出 處:
其他
題目難易:
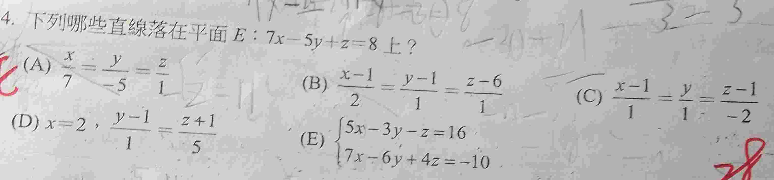
E選項為何把x項帶0,然後聯立解出y,z後的答案帶入7x-5y+z=8會不合
(原作者於 2022/05/17 19:13 重新編輯過)
分享
訂閱
你目前尚未登入,登入後方能觀看解答!
李玟慧
國中/歷史
台灣史
曾昱翔
高中/英文
李京昱
國中/數學