未登入
登入
趙尉廷
2023/06/29 23:08
高中/數學
主 題:
出 處:
其他
題目難易:
中等
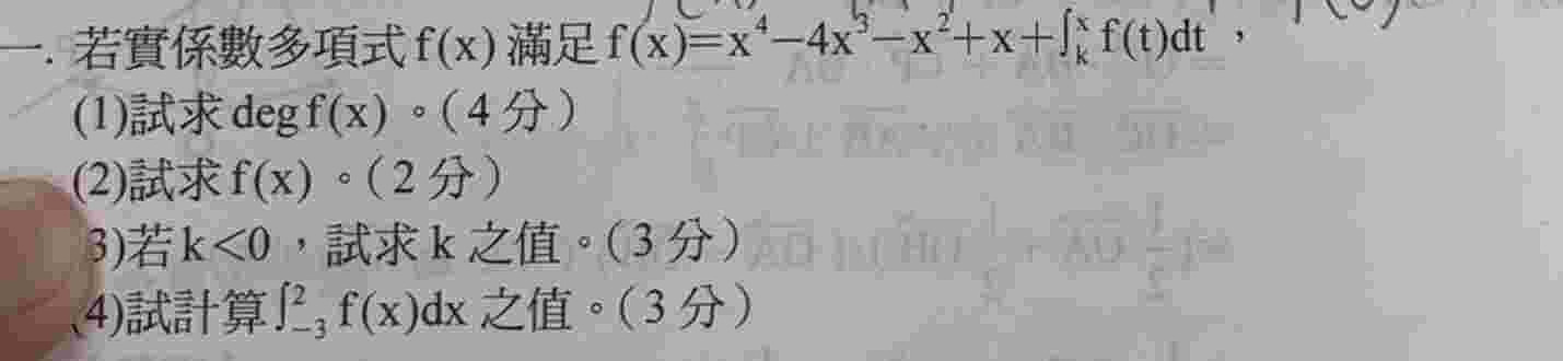
請問第二小題怎麼算?
(原作者於 2023/06/29 23:27 重新編輯過)
分享
訂閱
你目前尚未登入,登入後方能觀看解答!
李玟慧
國中/歷史
台灣史
曾昱翔
高中/英文
李京昱
國中/數學