未登入
登入
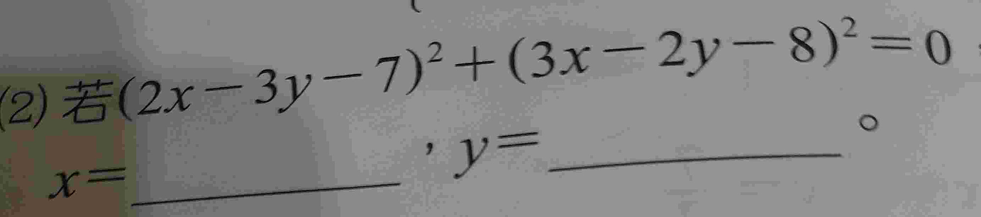
蔡佳辰
2023/08/25 15:16
國中/數學
主 題:
出 處:
其他
題目難易:
中等
(原作者於 2023/08/25 15:18 重新編輯過)
分享
訂閱
你目前尚未登入,登入後方能觀看解答!
李玟慧
國中/歷史
台灣史
曾昱翔
高中/英文
李京昱
國中/數學