未登入
登入
楊宥晟
2023/09/04 16:46
高中/數學
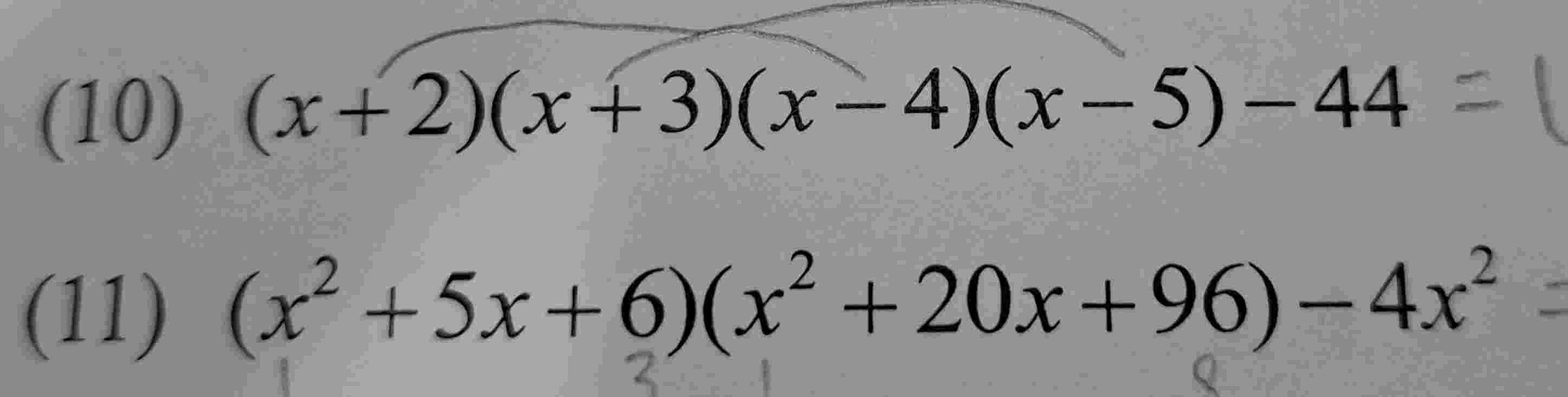
主 題:
出 處:
課堂提問
題目難易:
中等
(原作者於 2023/09/04 16:48 重新編輯過)
分享
訂閱
你目前尚未登入,登入後方能觀看解答!
李玟慧
國中/歷史
台灣史
曾昱翔
高中/英文
李京昱
國中/數學