未登入
登入
潘冠廷
2024/01/06 12:57
高中/數學
主 題:
出 處:
模擬考
題目難易:
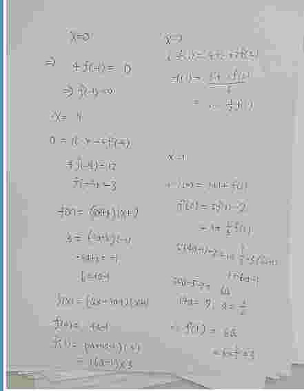
f(x)的算式是怎麼求出來的
(原作者於 2024/01/06 13:55 重新編輯過)
分享
訂閱
你目前尚未登入,登入後方能觀看解答!
李玟慧
國中/歷史
台灣史
曾昱翔
高中/英文
李京昱
國中/數學