未登入
登入
李沛語
2024/01/07 11:59
高中/數學
主 題:
出 處:
參考書
題目難易:
中等
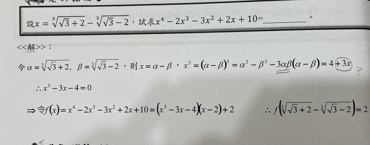
為什麼第一行最後面-3ab(a-b)=3x?
(原作者於 2024/01/07 12:16 重新編輯過)
分享
訂閱
你目前尚未登入,登入後方能觀看解答!
李玟慧
國中/歷史
台灣史
曾昱翔
高中/英文
李京昱
國中/數學