未登入
登入
陳建霖
2024/03/14 14:20
高中/數學
主 題:
出 處:
參考書
題目難易:
中等
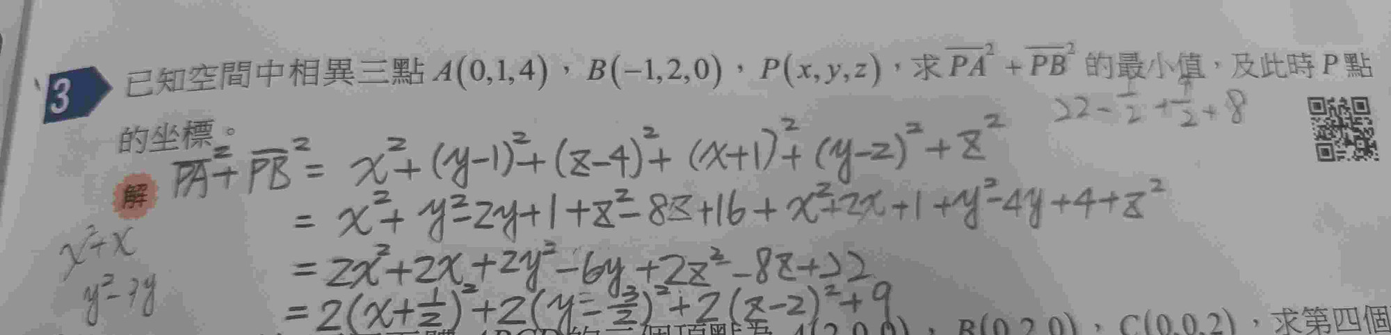
請問這題最後是怎麼配出最後面是加9的?
(原作者於 2024/03/14 14:25 重新編輯過)
分享
訂閱
你目前尚未登入,登入後方能觀看解答!
李玟慧
國中/歷史
台灣史
曾昱翔
高中/英文
李京昱
國中/數學