未登入
登入
黃諺澤
2024/05/07 19:37
國中/數學
主 題:
出 處:
產品題庫
題目難易:
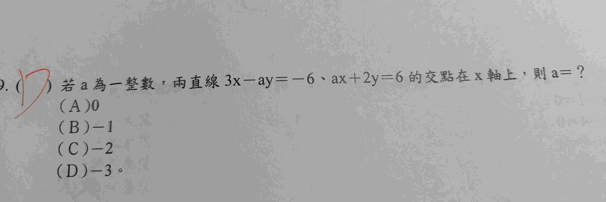
怎麼解
(原作者於 2024/05/07 19:38 重新編輯過)
分享
訂閱
你目前尚未登入,登入後方能觀看解答!
李玟慧
國中/歷史
台灣史
曾昱翔
高中/英文
李京昱
國中/數學