未登入
登入
學生
2024/05/30 15:26
國中/數學
主 題:
出 處:
其他
題目難易:
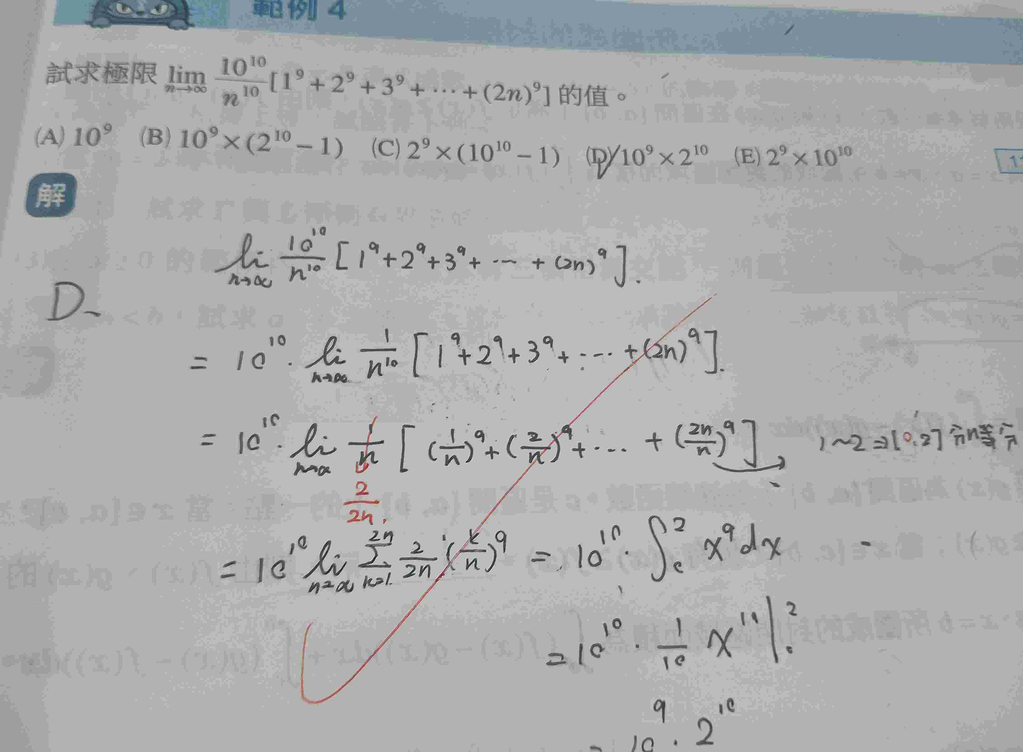
這題是怎麼知道是[0,2]分成2n等分的
(原作者於 2024/05/30 15:29 重新編輯過)
分享
訂閱
你目前尚未登入,登入後方能觀看解答!
李玟慧
國中/歷史
台灣史
曾昱翔
高中/英文
李京昱
國中/數學