未登入
登入
李欣妍
2024/06/26 12:12
國中/數學
主 題:
出 處:
其他
題目難易:
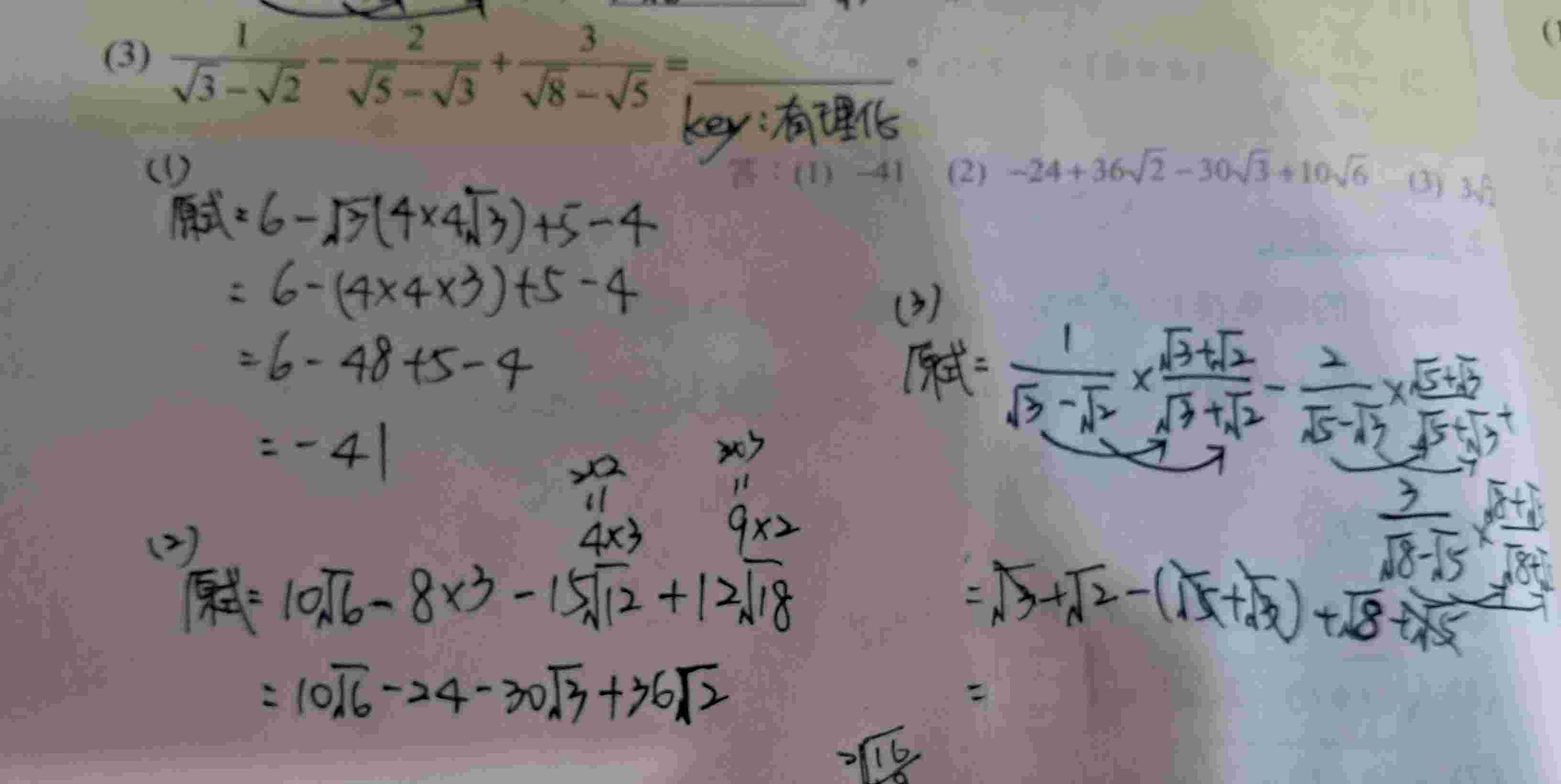
老師第三題根號2和根號8為什麼會形成3根號2?
(原作者於 2024/06/26 12:14 重新編輯過)
分享
訂閱
你目前尚未登入,登入後方能觀看解答!
李玟慧
國中/歷史
台灣史
曾昱翔
高中/英文
李京昱
國中/數學