未登入
登入
蔡芷家
2024/08/05 23:00
國中/數學
主 題:
出 處:
參考書
題目難易:
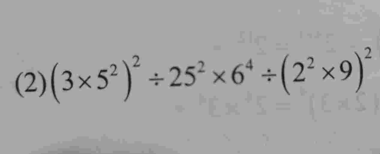
括號裡指的是先算還是指裡面平方的(就是平方後就等於開括號,之後就不用先算)
(原作者於 2024/08/05 23:03 重新編輯過)
分享
訂閱
你目前尚未登入,登入後方能觀看解答!
李玟慧
國中/歷史
台灣史
曾昱翔
高中/英文
李京昱
國中/數學