未登入
登入
黃宥云
2024/10/29 21:27
高中/數學
主 題:
出 處:
模擬考
題目難易:
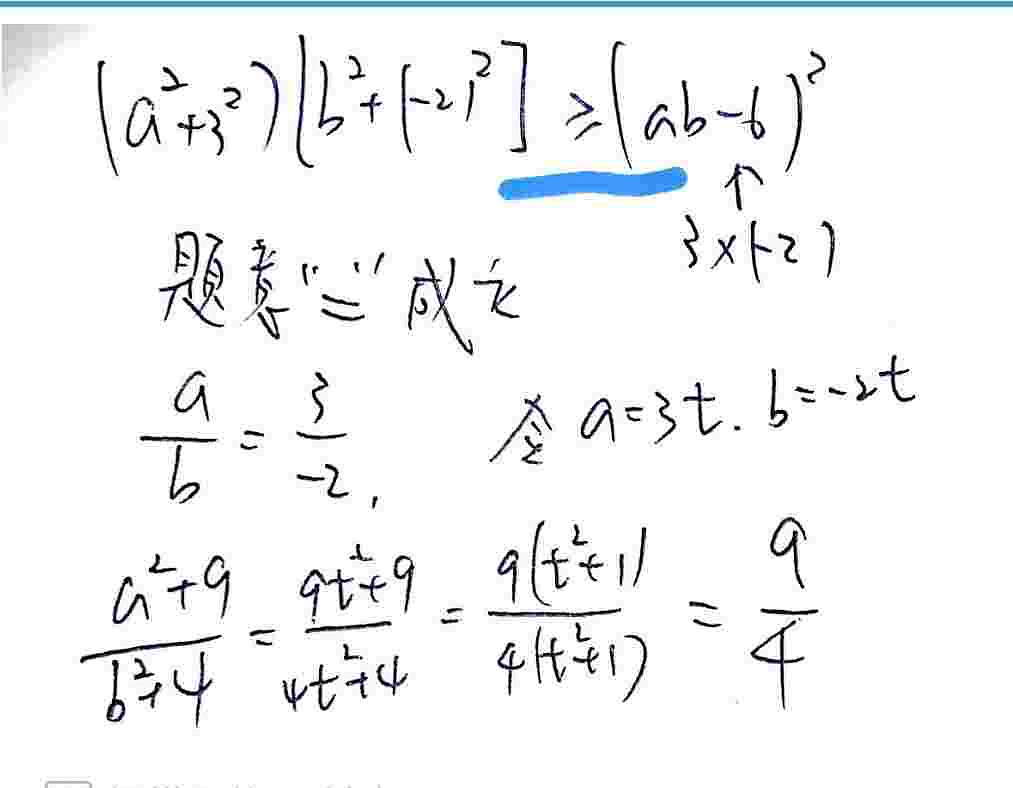
為什麼這邊(劃線處)可以直接大於等於?
(原作者於 2024/10/29 21:29 重新編輯過)
分享
訂閱
你目前尚未登入,登入後方能觀看解答!
李玟慧
國中/歷史
台灣史
曾昱翔
高中/英文
李京昱
國中/數學