未登入
登入
吳咏錡
2024/11/21 19:40
高中/數學
主 題:
出 處:
其他
題目難易:
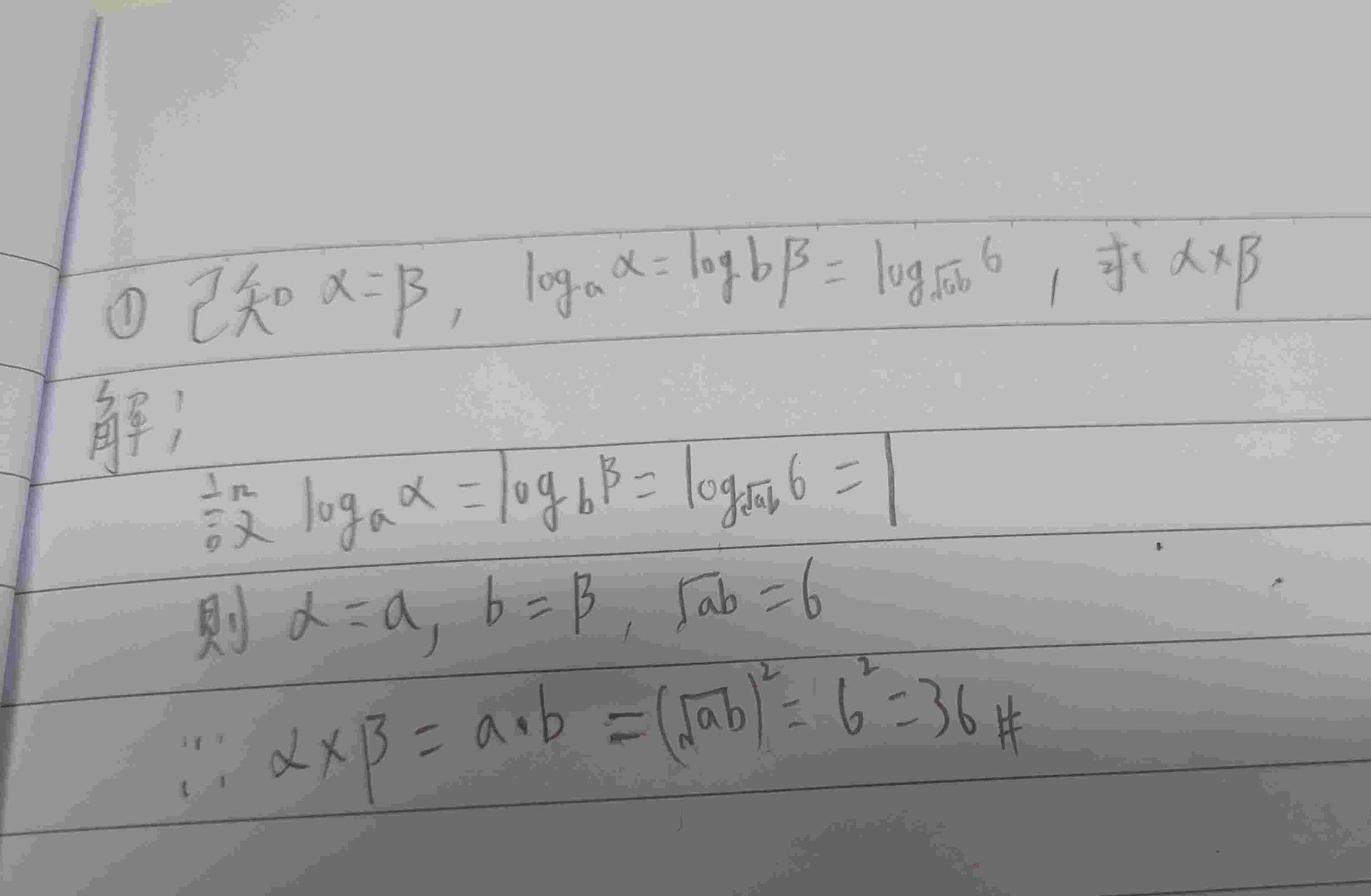
老師,請問這種算法是正確的嗎?
(原作者於 2024/11/21 20:34 重新編輯過)
分享
訂閱
你目前尚未登入,登入後方能觀看解答!
李玟慧
國中/歷史
台灣史
曾昱翔
高中/英文
李京昱
國中/數學