未登入
登入
黃宥云
2024/11/22 11:56
高中/數學
主 題:
出 處:
學測
題目難易:
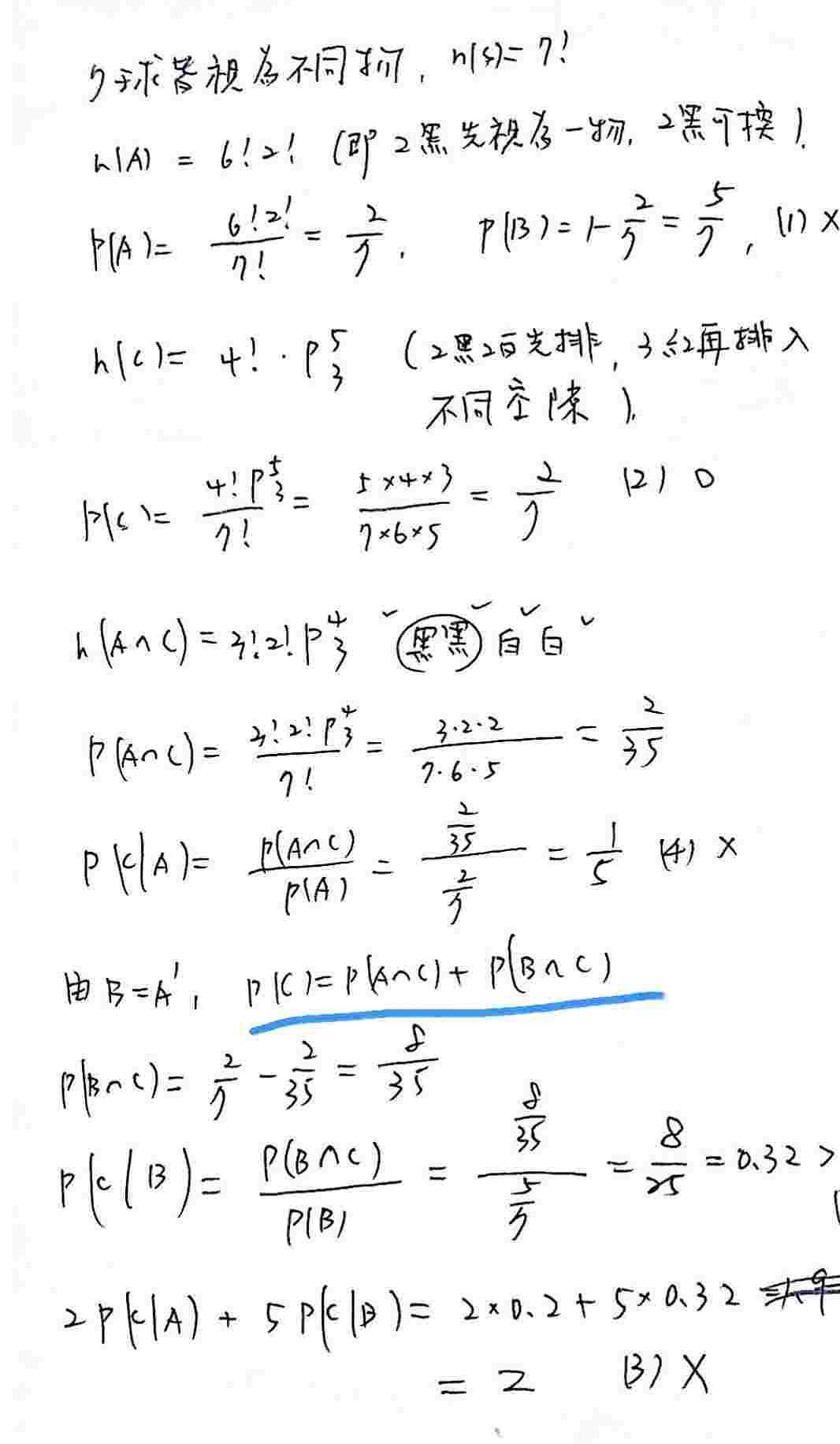
劃線處看不懂
(原作者於 2024/11/22 21:19 重新編輯過)
分享
訂閱
你目前尚未登入,登入後方能觀看解答!
李玟慧
國中/歷史
台灣史
曾昱翔
高中/英文
李京昱
國中/數學